close
method=CV_TM_SQDIFF
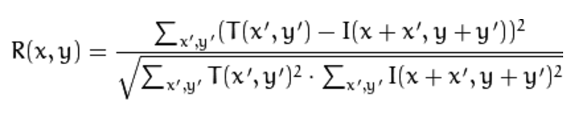
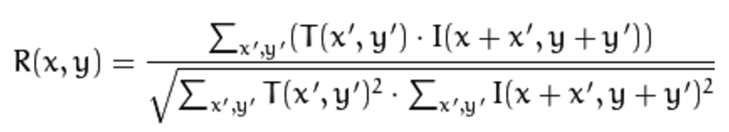
method=CV_TM_SQDIFF_NORMED
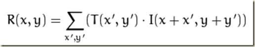
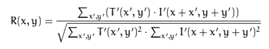
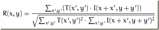
method=CV_TM_CCORR
Normalize真棒! 相較於上一個參數只差別分母(正規化部分), 竟然有這麼神奇的效果
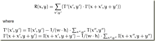
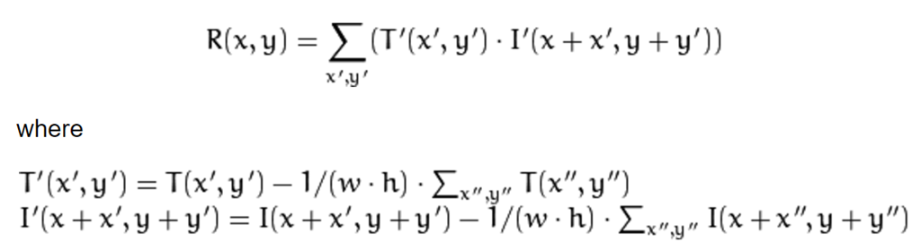
method=CV_TM_CCOEFF
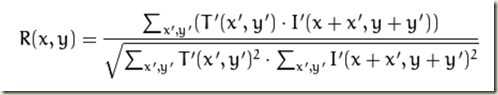
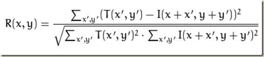
method=CV_TM_CCOEFF_NORMED
--------------------------------
計算流程: matchTemplate -> normalize-> minMaxLoc
全域最大值: CV_TM_CCORR 和 CV_TM_CCOEFF
全域最小值: CV_TM_SQDIFF
參考資料:
全站熱搜




















留言列表
